REsolved ALMA and SMA Observations of Nearby Stars (REASONS)
NEWS
-- 05-04-2018 - SMA proposal (part 2, semester 2018A, summer 2018) accepted by SAO and UH TACs -- 05-07-2018 - First ALMA dataset delivered: HD170773 (ACA only) -- 06-03-2018 - HD127821 observed by the SMA in compact configuration, bad weather (PWV~7mm), will be repeated -- 06-05-2018 - ALMA dataset delivered: HD161868 (ACA only) -- 06-09-2018 - HD127821 observed by the SMA in compact configuration, bad weather (PWV~5mm+fog), will be repeated -- 06-11-2018 - ALMA dataset delivered: TYC7443-1102-1 -- 06-13-2018 - ALMA dataset delivered: HD161868 (12m) -- 06-15-2018 - ALMA dataset delivered: HD158352 -- 06-19-2018 - ALMA dataset delivered: HD150682 -- 06-20-2018 - ALMA dataset delivered: HD170773 (12m) -- 06-20-2018 - ALMA dataset delivered: HD205674 -- 06-20-2018 - ALMA dataset delivered: HD212695 -- 06-22-2018 - HD6798 observed by the SMA in compact configuration, good weather (PWV~1.5mm), being processed -- 08-11-2018 - HD125162 half track observed by the SMA in subcompact configuration, OK weather (PWV~2.7mm), to be repeated -- 08-13-2018 - HD213617 observed by the SMA in subcompact configuration, OK weather (PWV~2.7mm), to be repeated -- 08-18-2018 - HD143894 observed by the SMA in subcompact configuration, bad weather (PWV~4.5mm), will not repeat as contaminant (~11" offset) is confirmed -- 08-30-2018 - ALMA dataset delivered: HD182681 -- 08-31-2018 - HD13161 observed by the SMA in subcompact configuration, great weather (PWV~0.7mm) -- 09-01-2018 - HD125162 half track observed by the SMA in subcompact configuration, good weather (PWV~1.0mm), but most time lost to correlator problem, to be repeated -- 09-04-2018 - ALMA dataset delivered: HD14055 -- 09-04-2018 - ALMA dataset delivered: HD76582 -- 09-10-2018 - HD25457 half track observed by the SMA in subcompact configuration, good weather (PWV~1.5mm), to be repeated -- 09-14-2018 - ALMA dataset delivered: GJ14 -- 09-17-2018 - HD213617 track observed by the SMA in subcompact configuration, good weather (PWV~2mm) -- 09-17-2018 - HD25457 3/4 track observed by the SMA in subcompact configuration, good weather (PWV~1.8mm) -- 09-19-2018 - ALMA dataset delivered: HD35841 -- 09-21-2018 - ALMA dataset delivered: HD191089 -- 09-25-2018 - HD213617 track observed by the SMA in subcompact configuration, ok weather (PWV~2.8mm) -- 09-25-2018 - HD25457 half track observed by the SMA in subcompact configuration, ok weather (PWV~2.8mm)


















































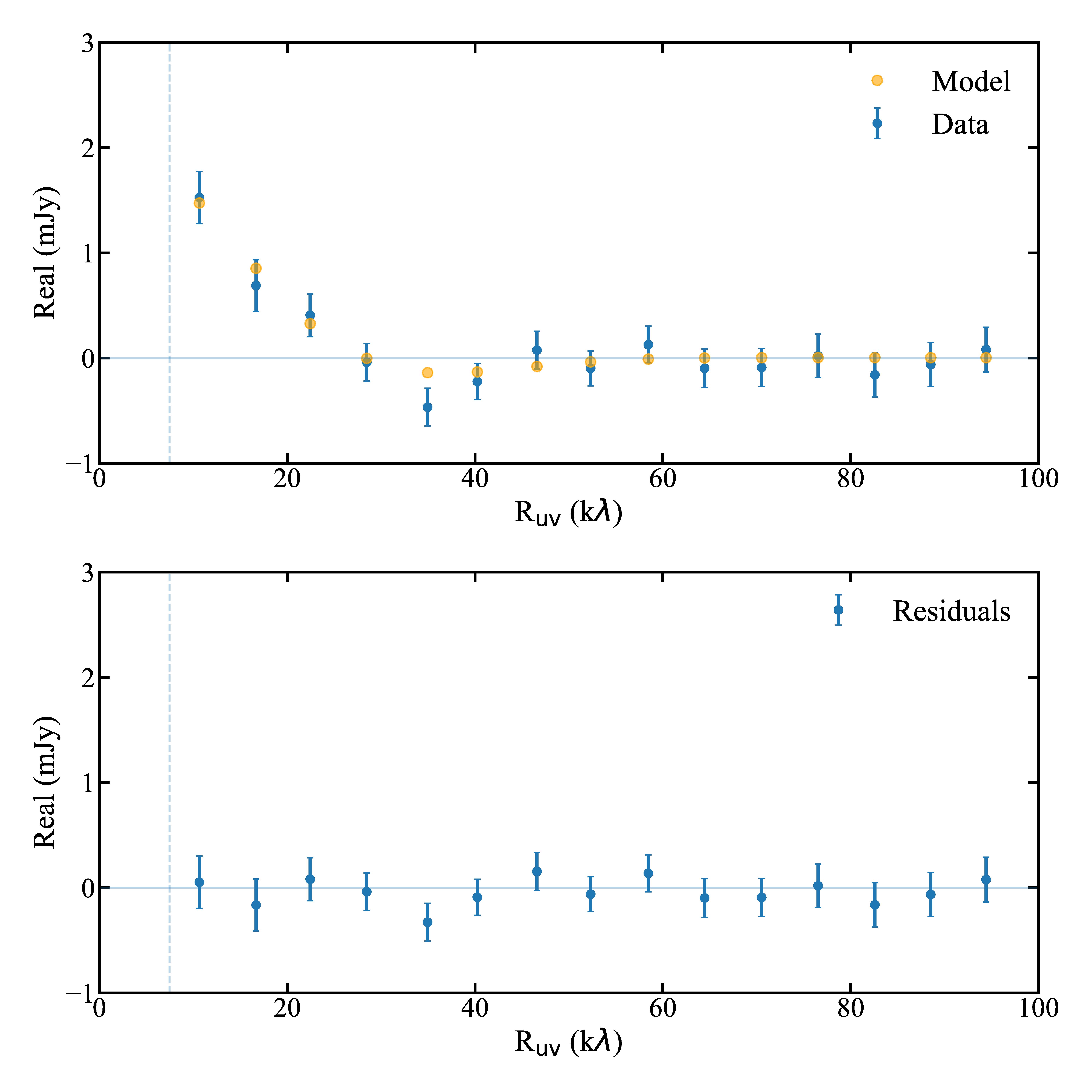
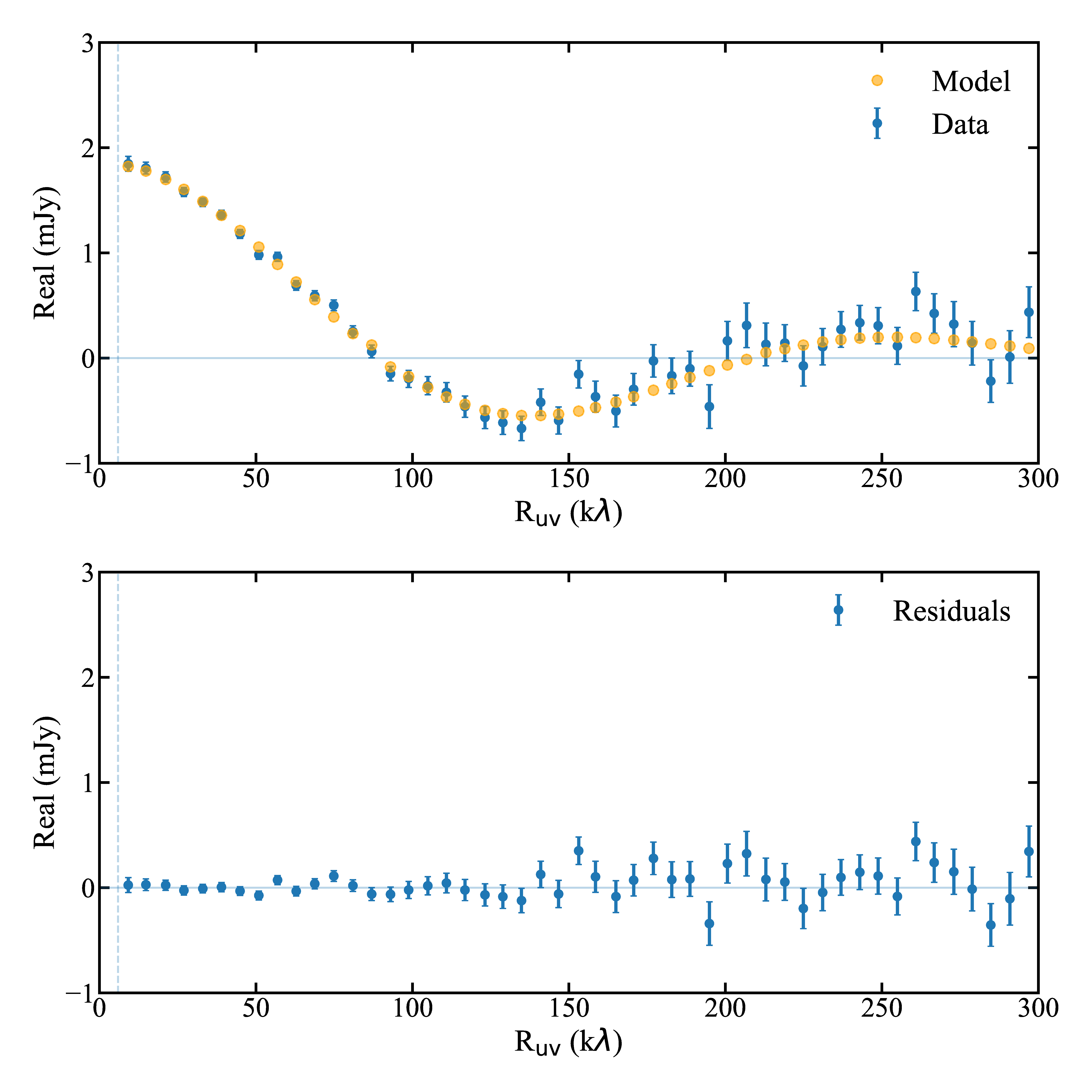
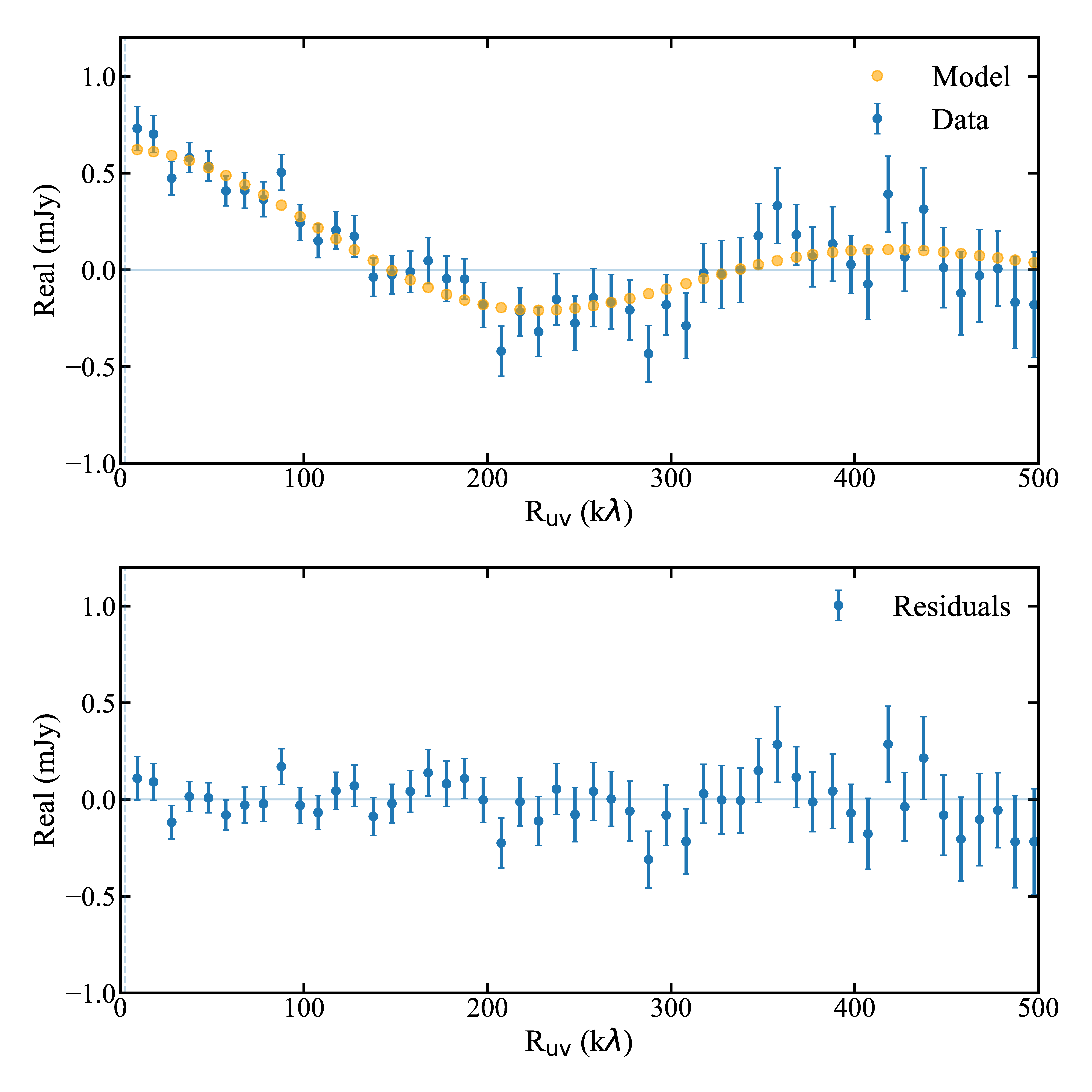
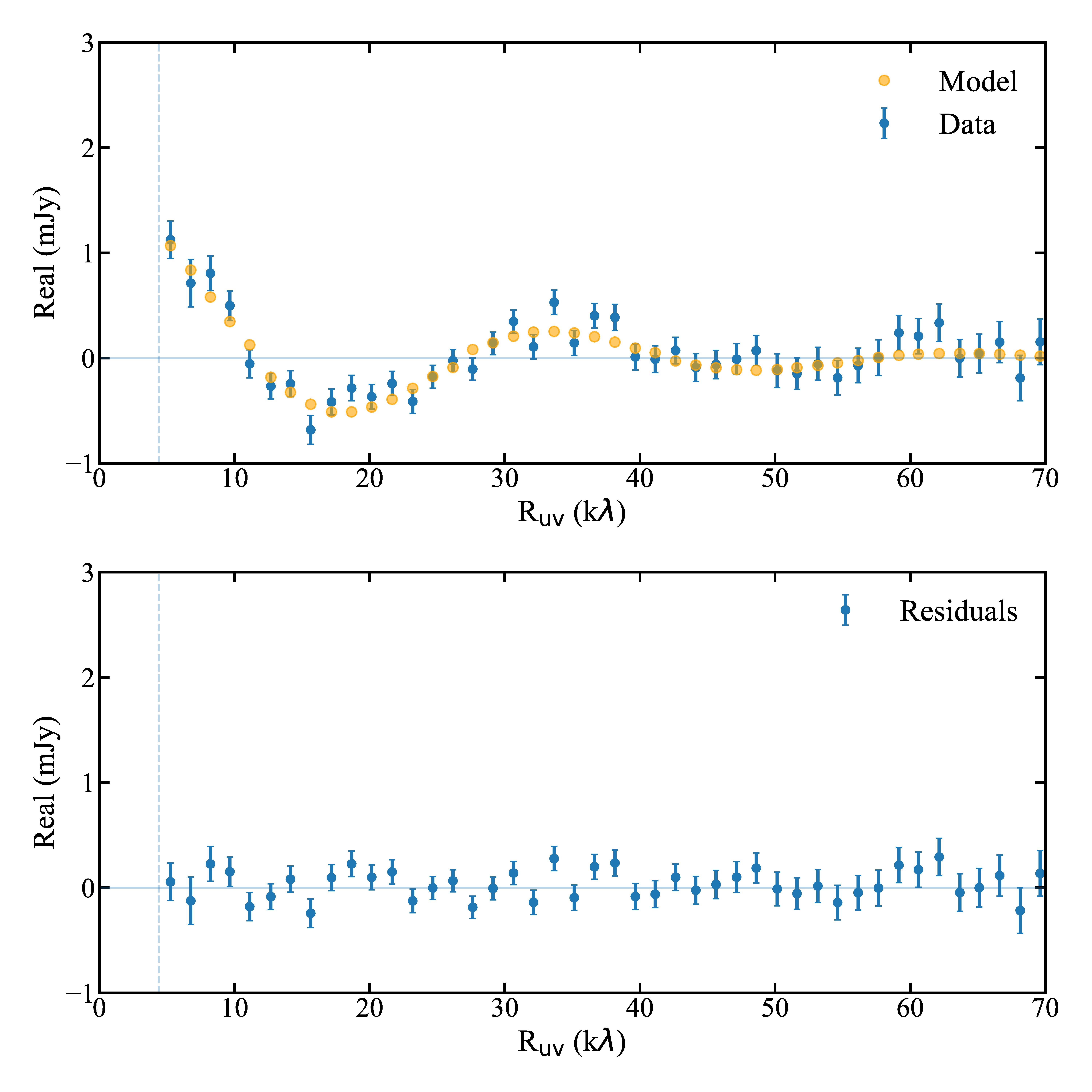
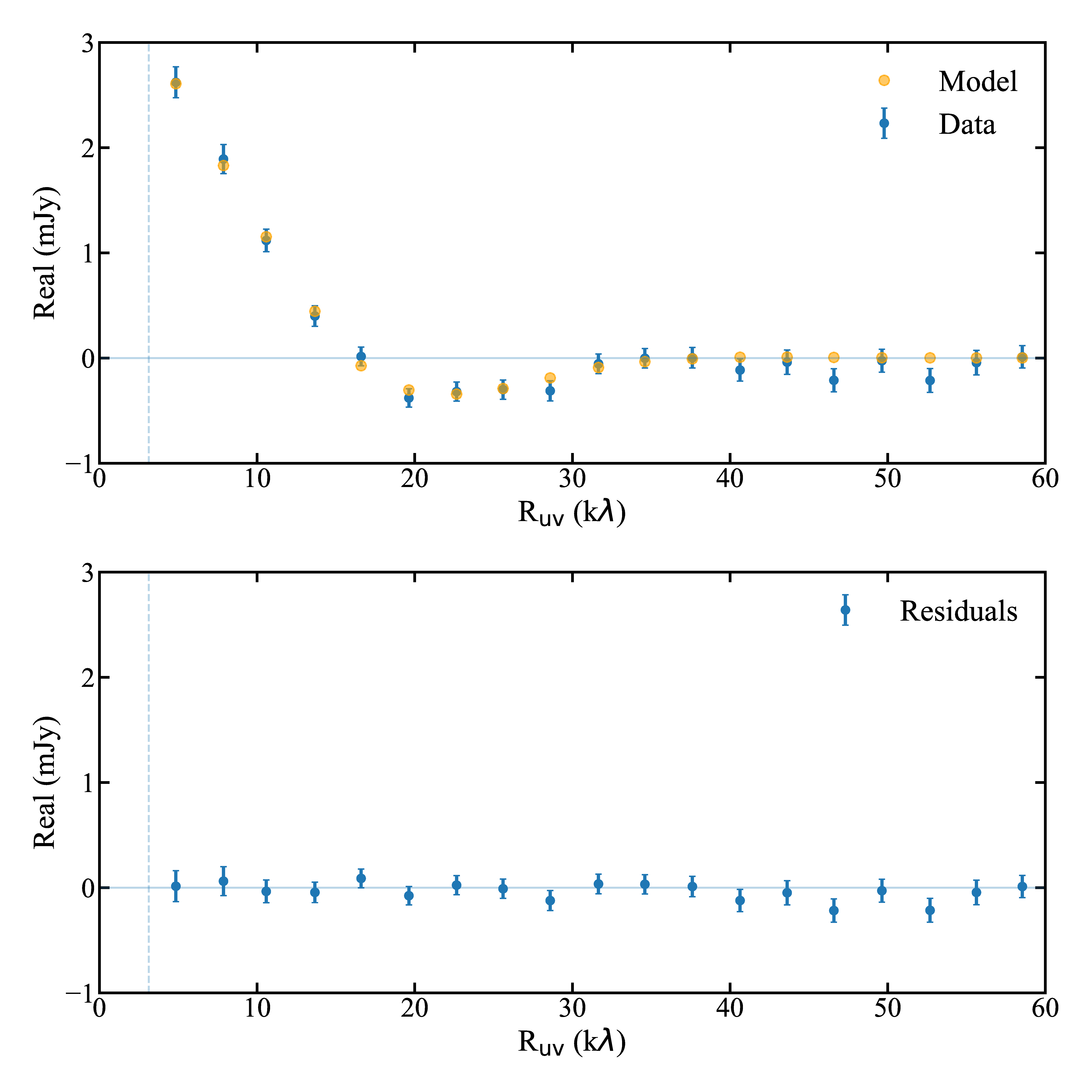
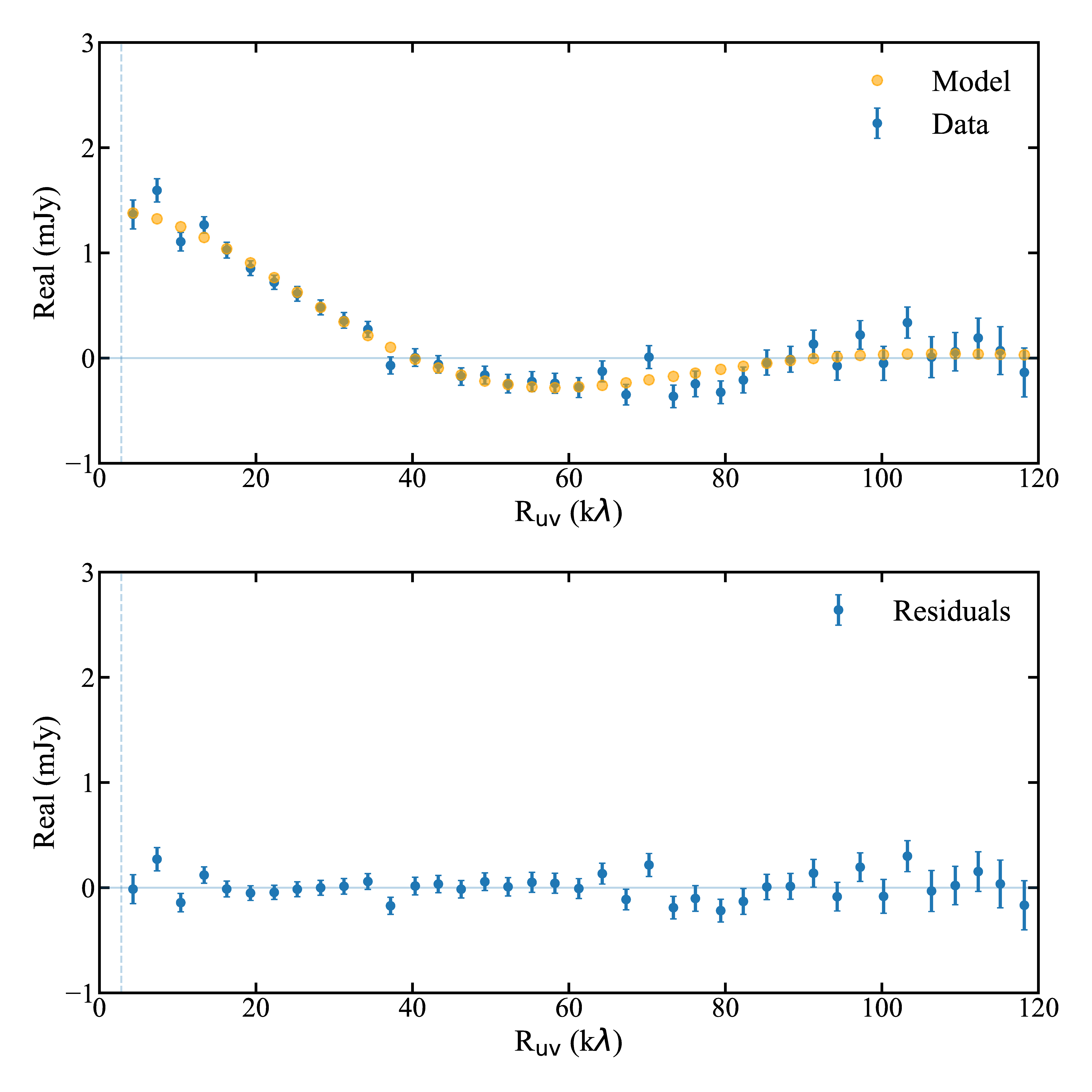
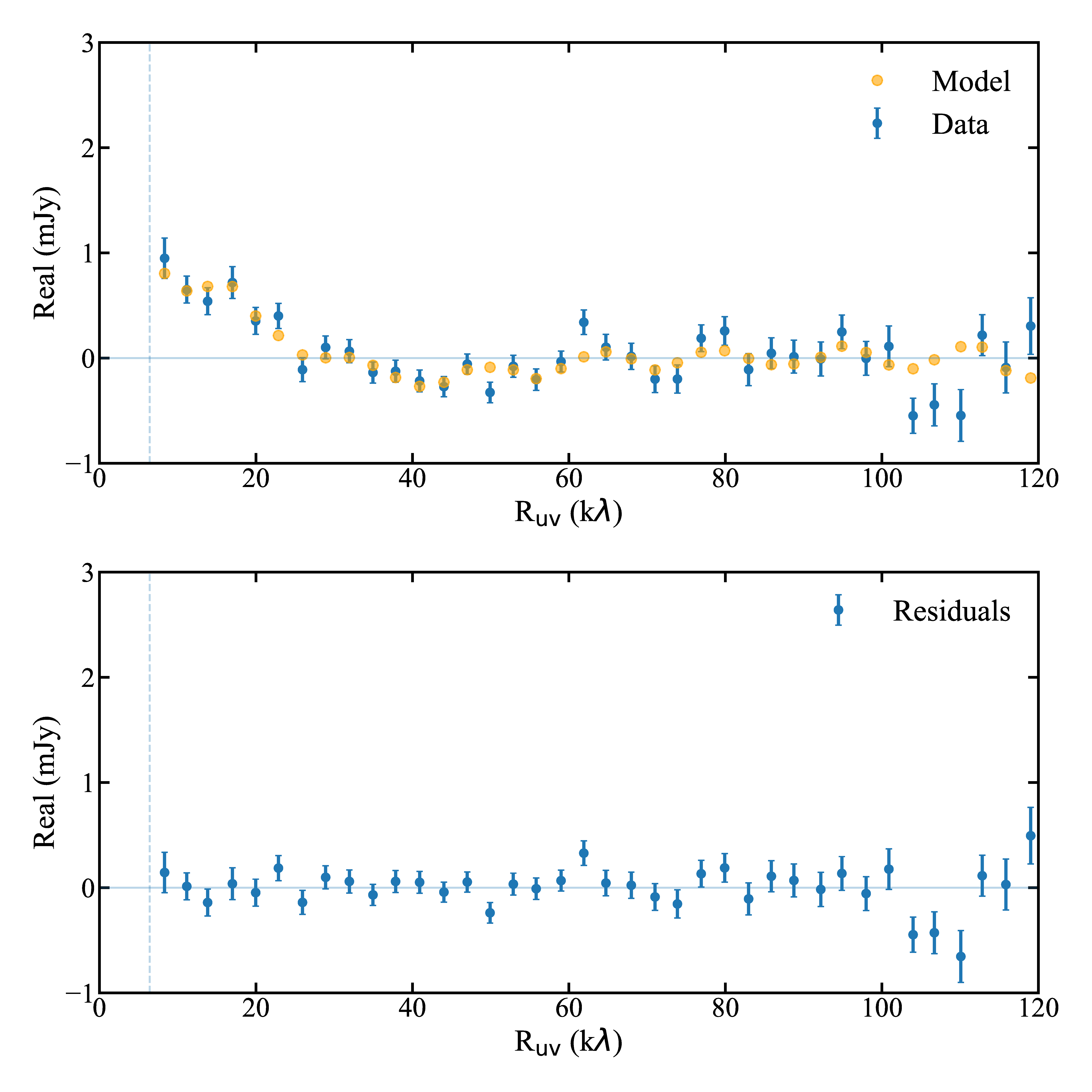
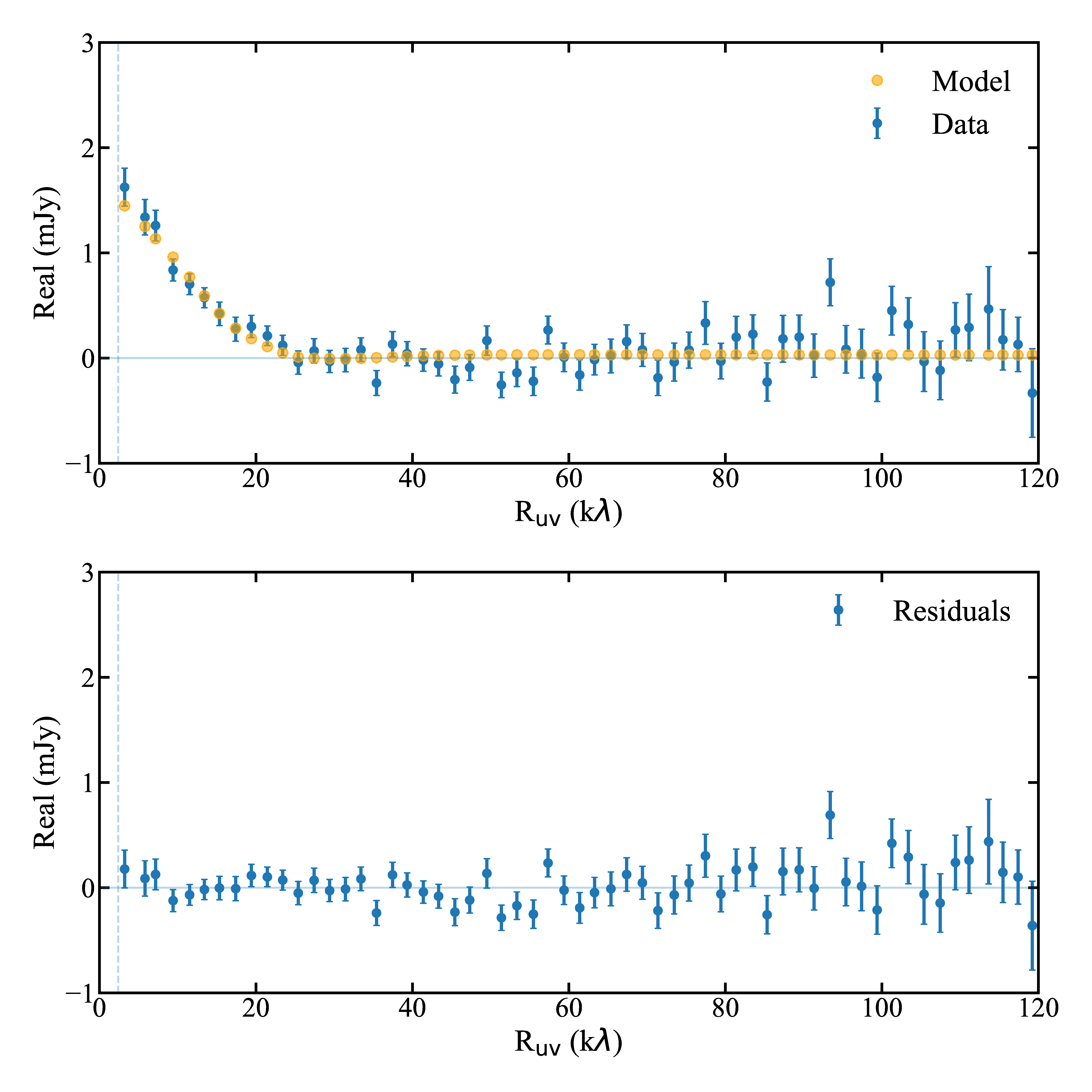
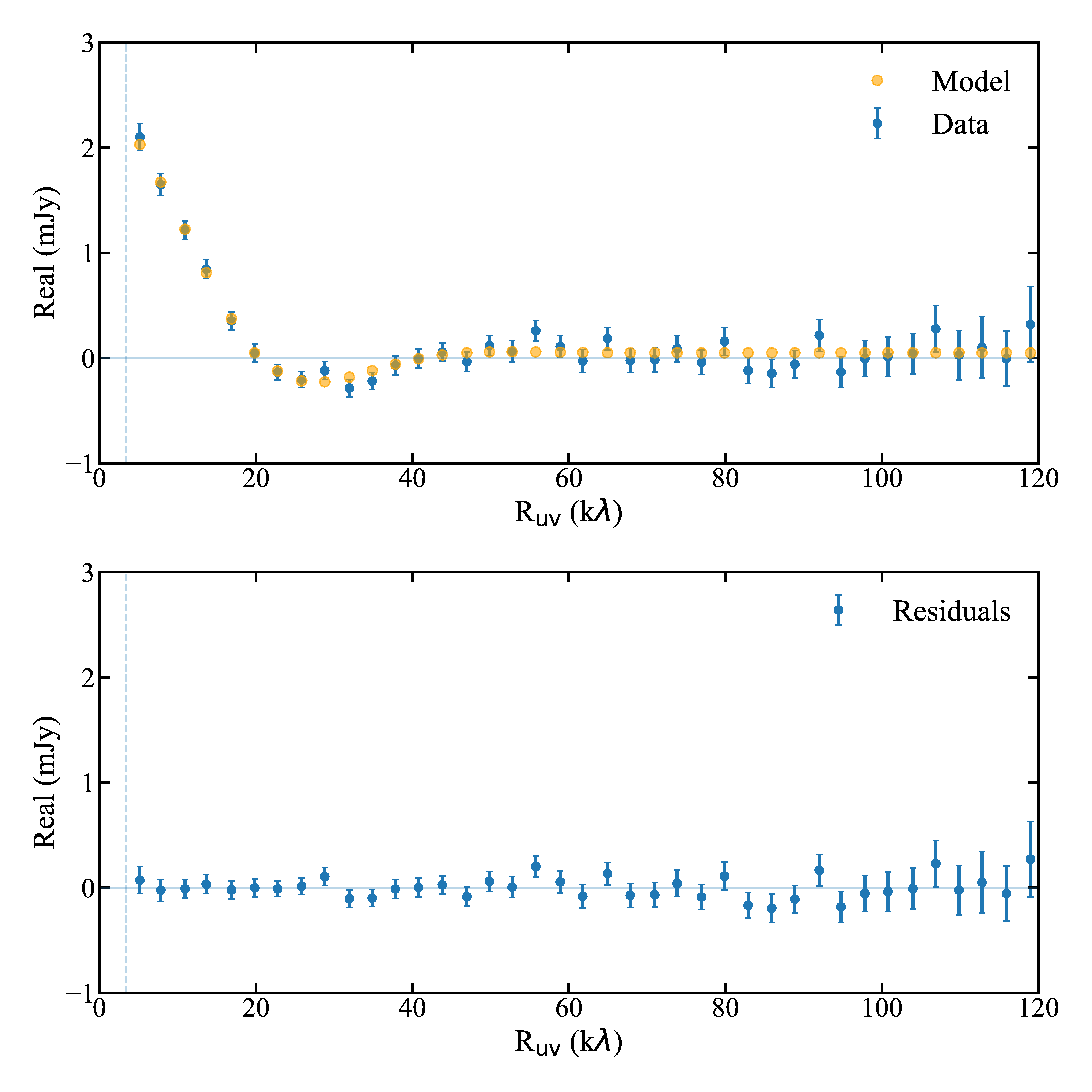
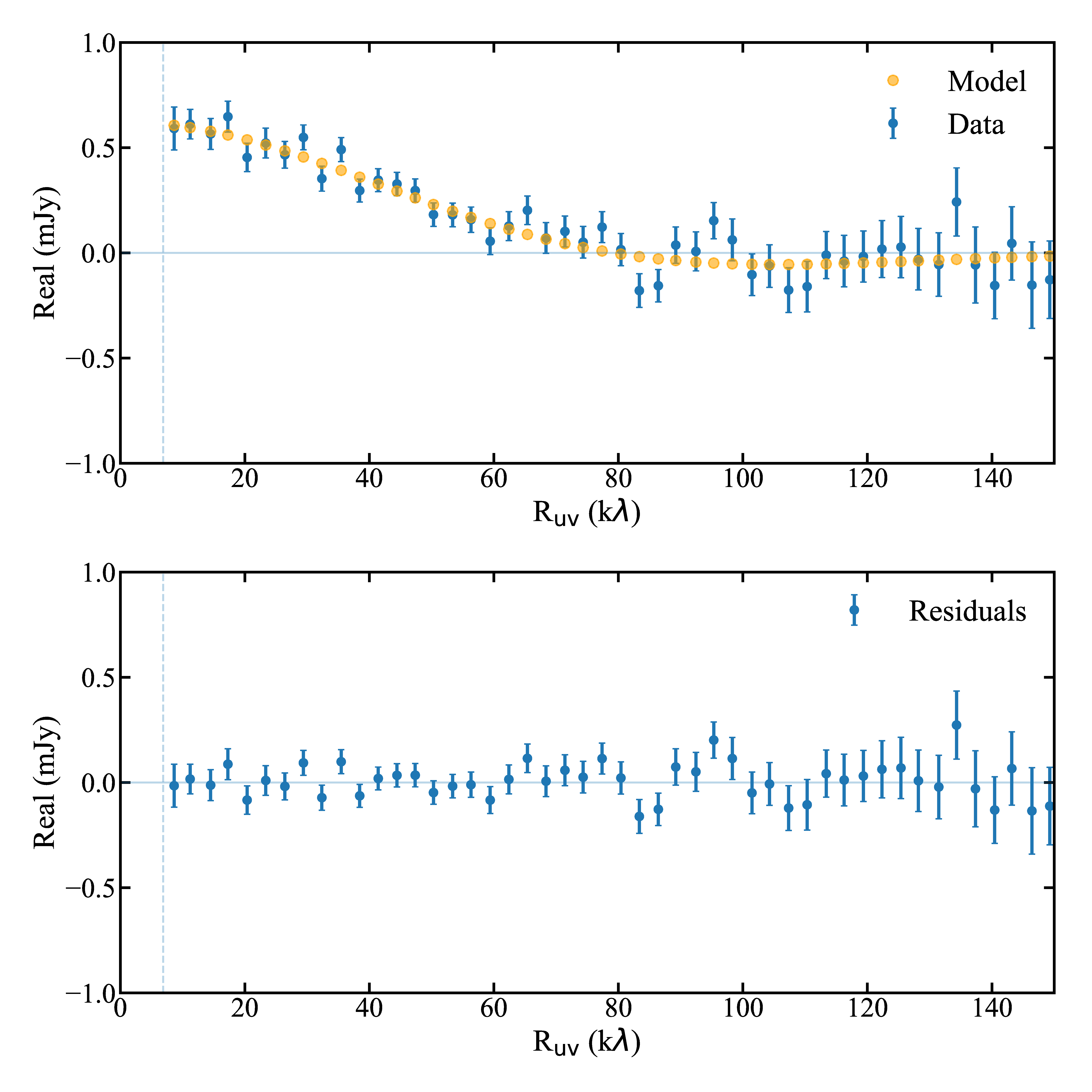
_HD170773.png)






